Oyo seating Governor and the Peoples Democratic Party (PDP)’s governorship candidate, Engineer Seyi Makinde, has been declared winner of Saturday’s gubernatorial and state House of Assembly poll in Oyo state.
Makinde seeking reelection as Oyo state’s Governor with his campaign tagged Omi titun 2.0 got a total of 563,756 votes and won 31 out of 33 Local Government councils in the state.
Governor Seyi’s major rivals, Teslim Folarin of the All Progressives Congress (APC) and Adebayo Adelabu of Accord Party came second and third with 256,685 votes and 38,357 votes respectively.
Register for Tekedia Mini-MBA edition 20 (June 8 – Sept 5, 2026).
Register for Tekedia AI in Business Masterclass.
Join Tekedia Capital Syndicate and co-invest in great global startups.
Register for Tekedia AI Lab.
Professor Bamire, the vice-chancellor of Obafemi Awolowo University who announced the PDP governorship candidate as the winner of the election said a total of 889,592 votes were cast out of which 14,920 votes were rejected.
The results:
A 38,357
AA 387
AAC 524
ADC 2407
ADP 2514
APC 256,685
APGA 627
APM 303
APP 1513
BP 101
LP 1500
NNPP 964
NRM 1709
PDP 563,756
SDP 2834
YPP 493
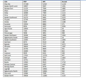
Also below is distribution of votes among the three leading parties, PDP, APC and Accord party across the 33 LGAs in Oyo state.



